Login-Übersicht<<Monatswerte
Mitgliederbereich von regional-wetter.de
Monatswerte der Temperatur, des Niederschlages und der Sonnenscheindauer,Kurztabellen und Niederschlagsstationen
Dezember 2011



 
 
 
 
 

Daten unserer Stationen
Kurztabellen
 Monatswerte Diagramme Monatsberichte
Temperatur
 Klimastationen
Temperatur 1
Bismark
Maximum
RR-Stationen
Temperatur 2
Neuenhagen
Minimum
RR-abs. Dia
Temperatur 3
Jänickendorf
RR-rel. Dia
Niederschlag 1
Mühlanger
Verteilungskarten
 
Niederschlag 2
Olbernhau
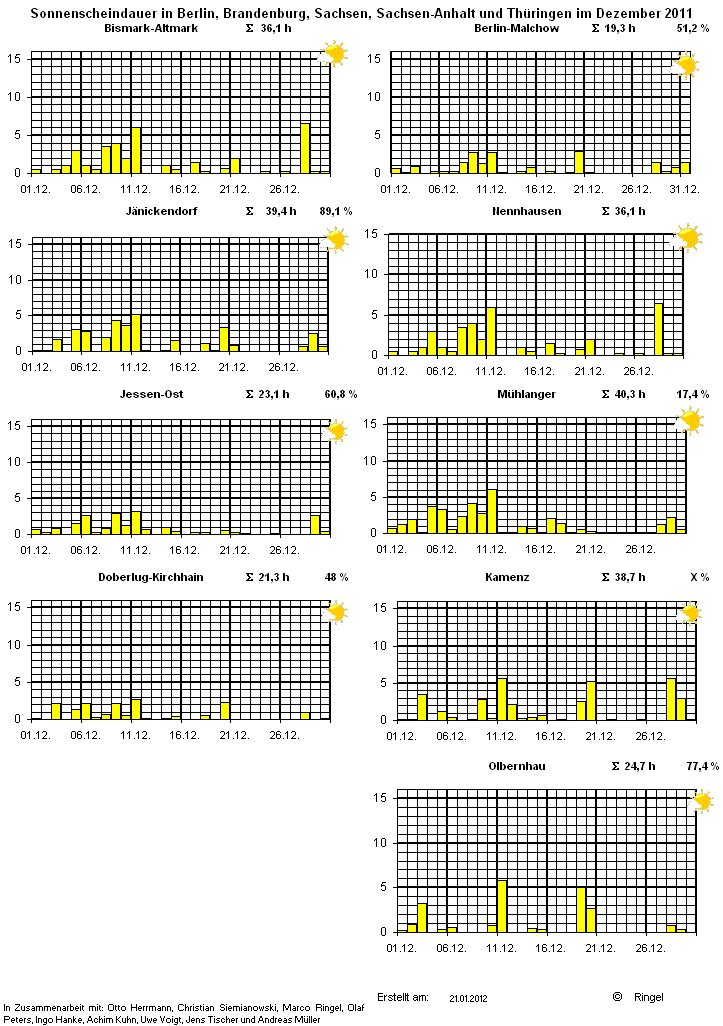
Sonnenschein 1

© regional-wetter.de - Der Seiteninhalt ist ausschließlich für den privaten Gebrauch bestimmt. Jede weitergehende, kommerzielle oder nicht kommerzielle Nutzung, Veröffentlichung, Aushang oder Sendung ist nur mit schriftlicher Zustimmung gestattet. Alle Rechte vorbehalten.